Toggle navigation
Test.Brainkart.com
Home
GATE Exam
TN School
College Entrance Exam
IIT JEE
NEET
AIIMS
CAT
CLAT
TANCET
10th & 12th
11th Std
12th Std
10th Std
Job Entrance Exam
BANK
UGC NET
TNPSC
அத்தியாயம் 9 : தொகை நுண்கணிதத்தின் பயன்பாடுகள்
- Online Test
அத்தியாயம் 9 : தொகை நுண்கணிதத்தின் பயன்பாடுகள்
TEST : 2
TN State Board
TN 12th Standard
Maths Tamil Medium
அத்தியாயம் 9 : தொகை நுண்கணிதத்தின் பயன்பாடுகள்
Prepare / Learn
Q1.
இன்
மதிப்பு
A.
10
B.
5
C.
8
D.
9
View Solution
Add Work Space
Answer :
Option D
Explaination / Solution:
TN State Board
TN 12th Standard
Maths Tamil Medium
அத்தியாயம் 9 : தொகை நுண்கணிதத்தின் பயன்பாடுகள்
Prepare / Learn
Q2.
இன்
மதிப்பு
A.
2/3
B.
2/9
C.
1/9
D.
1/3
View Solution
Add Work Space
Answer :
Option B
Explaination / Solution:
TN State Board
TN 12th Standard
Maths Tamil Medium
அத்தியாயம் 9 : தொகை நுண்கணிதத்தின் பயன்பாடுகள்
Prepare / Learn
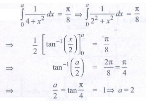
Q3.
இன்
மதிப்பு
A.
3π / 10
B.
3π / 8
C.
3π / 4
D.
3π / 2
View Solution
Add Work Space
Answer :
Option B
Explaination / Solution:
TN State Board
TN 12th Standard
Maths Tamil Medium
அத்தியாயம் 9 : தொகை நுண்கணிதத்தின் பயன்பாடுகள்
Prepare / Learn
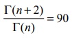
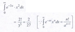
Q4.
இன்
மதிப்பு
A.
7/27
B.
5/27
C.
4/27
D.
2/27
View Solution
Add Work Space
Answer :
Option D
Explaination / Solution:
TN State Board
TN 12th Standard
Maths Tamil Medium
அத்தியாயம் 9 : தொகை நுண்கணிதத்தின் பயன்பாடுகள்
Prepare / Learn
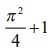
Q5.
எனில்
a
இன்
மதிப்பு
A.
4
B.
1
C.
3
D.
2
View Solution
Add Work Space
Answer :
Option D
Explaination / Solution:
TN State Board
TN 12th Standard
Maths Tamil Medium
அத்தியாயம் 9 : தொகை நுண்கணிதத்தின் பயன்பாடுகள்
Prepare / Learn
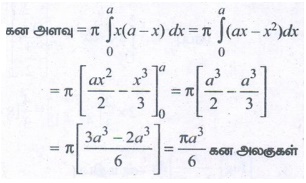
Q6.
y
2
=
x
(a–
x
)
என்ற
வளைவரையில்
அடைபடும்
அரங்கத்தின்
பரப்பை
x
–
அச்சைப்
பொருத்து
சுழற்றுவதால்
உருவாகும்
திடப்பொருளின்
கன
அளவு
A.
πa
3
B.
πa
3
/ 4
C.
πa
3
/ 5
D.
πa
3
/ 6
View Solution
Add Work Space
Answer :
Option D
Explaination / Solution:
TN State Board
TN 12th Standard
Maths Tamil Medium
அத்தியாயம் 9 : தொகை நுண்கணிதத்தின் பயன்பாடுகள்
Prepare / Learn
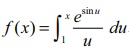
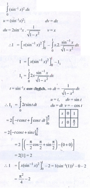
Q7.
I
f
f
(
x
) =
,
x
> 1
மற்றும்
எனில்
a
பெறக்கூடிய
ஒரு
மதிப்பு
A.
3
B.
6
C.
9
D.
5
View Solution
Add Work Space
Answer :
Option C
Explaination / Solution:
TN State Board
TN 12th Standard
Maths Tamil Medium
அத்தியாயம் 9 : தொகை நுண்கணிதத்தின் பயன்பாடுகள்
Prepare / Learn
Q8.
இன்
மதிப்பு
A.
B.
C.
D.
View Solution
Add Work Space
Answer :
Option D
Explaination / Solution:
TN State Board
TN 12th Standard
Maths Tamil Medium
அத்தியாயம் 9 : தொகை நுண்கணிதத்தின் பயன்பாடுகள்
Prepare / Learn
Q9.
d
x
இன்
மதிப்பு
A.
B.
C.
D.
View Solution
Add Work Space
Answer :
Option B
Explaination / Solution:
TN State Board
TN 12th Standard
Maths Tamil Medium
அத்தியாயம் 9 : தொகை நுண்கணிதத்தின் பயன்பாடுகள்
Prepare / Learn
Q10.
எனில்
f
(1)
இன்
மதிப்பு
A.
1/2
B.
2
C.
1
D.
3/4
View Solution
Add Work Space
Answer :
Option A
Explaination / Solution:
Submit My Answer
Total Question/Mark :
Scored Mark :
Mark for Correct Answer : 1 Mark for Wrong Answer : -0.5 Mark for Left Answer : 0
Save and Share My Score
REDO LAST TEST AGAIN : ( TEST 1 )
REDO THIS TEST AGAIN : ( TEST 2 )
START NEXT : ( TEST 3 )
அத்தியாயம் 9 : தொகை நுண்கணிதத்தின் பயன்பாடுகள்
TEST : 2
அத்தியாயம் 9 : தொகை நுண்கணிதத்தின் பயன்பாடுகள்
| Online Objective Test |
Start Test
TN State Board : TN 12th Standard (Maths Tamil Medium)
| Online Objective Test
Start Test
அத்தியாயம் 1 : அணிகள் மற்றும் அணிக்கோவைகளின் பயன்பாடுகள்
| Online 1 Mark Objective Test
Start Test
அத்தியாயம் 2 : கலப்பு எண்கள்
| Online 1 Mark Objective Test
Start Test
அத்தியாயம் 3 : சமன்பாட்டியல்
| Online 1 Mark Objective Test
Start Test
அத்தியாயம் 4 : நேர்மாறு முக்கோணவியல் சார்புகள்
| Online 1 Mark Objective Test
Start Test
அத்தியாயம் 5 : இருபரிமாண பகுமுறை வடிவியல் II
| Online 1 Mark Objective Test
Start Test
அத்தியாயம் 6 : வெக்டர் இயற்கணிதத்தின் பயன்பாடுகள்
| Online 1 Mark Objective Test
Start Test
அத்தியாயம் 7 : வகை நுண்கணிதத்தின் பயன்பாடுகள்
| Online 1 Mark Objective Test
Start Test
அத்தியாயம் 8 : வகையீடுகள் மற்றும் பகுதி வகைக்கெழுக்கள்
| Online 1 Mark Objective Test
Start Test
அத்தியாயம் 9 : தொகை நுண்கணிதத்தின் பயன்பாடுகள்
| Online 1 Mark Objective Test
Start Test
அத்தியாயம் 10 : சாதாரண வகைக்கெழுச் சமன்பாடுகள்
| Online 1 Mark Objective Test
Start Test
அத்தியாயம் 11 : நிகழ்தகவு பரவல்கள்
| Online 1 Mark Objective Test
Start Test
அத்தியாயம் 12 : தனிநிலைக் கணிதம்
| Online 1 Mark Objective Test
Start Test
Prepare Before Start Test
| Learn
Engineering
| prepare/Learn
Medical
| prepare/Learn
TN School (10th & 12th )
| prepare/Learn
NEET, JEE
| prepare/Learn
TNPSC Exam
| prepare/Learn
UPSC Civil services Entrance exams
| Online Test
General Studies test
| Start Online Test
Civil Services Aptitude Test (CSAT)
| Start Online Test
Interview and Personality Test
| Start Online Test
GATE Exam
| Online Test
EE Electrical Engineering
| Start Online Test
EC Electronics and Communication Engineering
| Start Online Test
CS Computer Science and Information Technology
| Start Online Test
CE Civil Engineering
| Start Online Test
ME Mechanical Engineering
| Start Online Test
Under Graduate Entrance Exams
| Online Test
IIT JEE IEEE Entrance Exam
| Start Online Test
NEET Entrance Exam
| Start Online Test
AIIMS Entrance Exams
| Start Online Test
Problem Solving and Reasoning
| Online Test
Verbal and Reading Comprehension
| Start Online Test
Data Interpretation and Logical Reasoning
| Start Online Test
Mathematics or Quantitative Aptitude
| Start Online Test
CAT Entrance Exams
| Online Test
Mathematics or Quantitative Aptitude
| Start Online Test
Data Interpretation and Logical Reasoning
| Start Online Test
Verbal and Reading Comprehension
| Start Online Test
CLAT LAW Entrance exams
| Online Test
English including comprehension
| Start Online Test
General Knowledge and Current Affairs
| Start Online Test
Elementary Mathematics
| Start Online Test
Logical and Legal Reasoning Aptitude
| Start Online Test
Banking Entrance exams
| Online Test
Bank PO
| Start Online Test
Bank Clerks
| Start Online Test
Specialist Officers (SO)
| Start Online Test
UGC NET Entrance exams
| Online Test
Science
| Start Online Test
Language
| Start Online Test
TANCET Anna University
| Online Test
EEE Electrical and Electronics Engineering
| Start Online Test
ECE Electronics and Communication Engineering
| Start Online Test
CSE, IT Computer Science Engineering and Information Technology
| Start Online Test
Civil Engineering
| Start Online Test
Mechanical Engineering
| Start Online Test
TN State Board
| Online Test
TN 11th Standard
| Start Online Test
TN 12th Standard
| Start Online Test
TN 10th Standard
| Start Online Test