அத்தியாயம் 8 : வகையீடுகள் மற்றும் பகுதி வகைக்கெழுக்கள் - Online Test

Q1. , எனில் அதன் வகையீடு
Answer : Option B
Explaination / Solution:



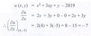
Q2. u(x,y) = x2 + 3xy + y–2019, எனில்  –ன் மதிப்பு
Answer : Option C
Explaination / Solution:



Q3. சார்பு g(x) = cos xன் நேரியல் தோராய மதிப்பு x = π/2 இல்
Answer : Option B
Explaination / Solution:



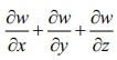
Q4. w(x,y,z) = x2(y–z) + y2(z–x) + z2(x–y), எனில்  –ன் மதிப்பு
Answer : Option D
Explaination / Solution:



Q5. f (x, y, z) = xy + yz + zx , எனில் fxfzன் மதிப்பு
Answer : Option A
Explaination / Solution: