
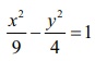
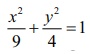
செவ்வகம்
R −க்குள் செவ்வகத்தின் பக்கங்கள் நீள்வட்டத்தின் அச்சுகளுக்கு இணையாக இருக்குமாறு அமைந்துள்ளன.
அந்த செவ்வகத்தின் சுற்றுவட்டமாக அமைந்த மற்றொரு நீள்வட்டம்
E2,
(0, 4) என்ற புள்ளி வழியாகச் செல்கிறது எனில் அந்த நீள்வட்டத்தின் மையத்தொலைத் தகவு
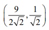
என்ற நீள்வட்டத்திற்கு தொடுகோடுகள் வரையப்பட்டால் தொடுபுள்ளிகளில் ஒன்று
என்ற நீள்வட்டத்தின் குவியங்கள் வழியாகவும்
(0, 3) என்ற புள்ளியை மையமாகவும் கொண்ட நீள்வட்டத்தின் சமன்பாடு


என்ற நீள்வட்டத்தினுள் வரையப்படும் மிகப்பெரிய செவ்வகத்தின் பரப்பு