Toggle navigation
Test.Brainkart.com
Home
GATE Exam
TN School
College Entrance Exam
IIT JEE
NEET
AIIMS
CAT
CLAT
TANCET
10th & 12th
11th Std
12th Std
10th Std
Job Entrance Exam
BANK
UGC NET
TNPSC
அத்தியாயம் 4 : நேர்மாறு முக்கோணவியல் சார்புகள்
- Online Test
அத்தியாயம் 4 : நேர்மாறு முக்கோணவியல் சார்புகள்
TEST : 1
TN State Board
TN 12th Standard
Maths Tamil Medium
அத்தியாயம் 4 : நேர்மாறு முக்கோணவியல் சார்புகள்
Prepare / Learn
Q1.
sin
−1
(cos
x
), 0 ≤
x
≤ π −
ன்
மதிப்பு
A.
π −
x
B.
x
– π/2
C.
π/2 –
x
D.
x
– π
View Solution
Add Work Space
Answer :
Option C
Explaination / Solution:
No Explaination.
TN State Board
TN 12th Standard
Maths Tamil Medium
அத்தியாயம் 4 : நேர்மாறு முக்கோணவியல் சார்புகள்
Prepare / Learn
Q2.
sin
−1
x
+ sin
−1
y
= 2π/3;
எனில்
cos
−1
x
+ cos
−1
y
என்பதன்
மதிப்பு
A.
2π/
x
B.
π/3
C.
π/6
D.
π
View Solution
Add Work Space
Answer :
Option B
Explaination / Solution:
TN State Board
TN 12th Standard
Maths Tamil Medium
அத்தியாயம் 4 : நேர்மாறு முக்கோணவியல் சார்புகள்
Prepare / Learn
Q3.
என்பதன்
மதிப்பு
A.
2π
B.
π
C.
0
D.
tan
−1
(12/65)
View Solution
Add Work Space
Answer :
Option C
Explaination / Solution:
No Explaination.
TN State Board
TN 12th Standard
Maths Tamil Medium
அத்தியாயம் 4 : நேர்மாறு முக்கோணவியல் சார்புகள்
Prepare / Learn
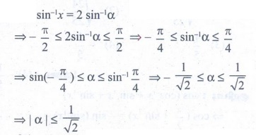
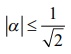
Q4.
If sin
−1
x
= 2 sin
−1
α
−
க்கு
ஒரு
தீர்வு
இருந்தால்
,
பின்னர்
A.
B.
C.
D.
View Solution
Add Work Space
Answer :
Option A
Explaination / Solution:
TN State Board
TN 12th Standard
Maths Tamil Medium
அத்தியாயம் 4 : நேர்மாறு முக்கோணவியல் சார்புகள்
Prepare / Learn
Q5.
பின்வருவனவற்றில்
எம்மதிப்புகளுக்கு
sin
−1
(cos
x
) = π/2 –
x
க்கு
மெய்யாகும்
A.
−π ≤
x
≤ 0
B.
0 ≤
x
≤ π
C.
−π/2 ≤
x
≤ π/2
D.
−π/4 ≤
x
≤ 3π/4
View Solution
Add Work Space
Answer :
Option B
Explaination / Solution:
No Explaination.
TN State Board
TN 12th Standard
Maths Tamil Medium
அத்தியாயம் 4 : நேர்மாறு முக்கோணவியல் சார்புகள்
Prepare / Learn
Q6.
sin
−1
x
+ sin
−1
y
+ sin
−1
z
= 3π/2
எனில்
,
−
ன்
மதிப்பு
A.
0
B.
1
C.
2
D.
3
View Solution
Add Work Space
Answer :
Option A
Explaination / Solution:
No Explaination.
TN State Board
TN 12th Standard
Maths Tamil Medium
அத்தியாயம் 4 : நேர்மாறு முக்கோணவியல் சார்புகள்
Prepare / Learn
Q7.
சில
x
∈
ℝ
−
க்கு
cot
−1
x
= 2π/5
எனில்
, tan
−1
x
−
ன்
மதிப்பு
A.
–π/10
B.
π/5
C.
π/10
D.
–π/5
View Solution
Add Work Space
Answer :
Option C
Explaination / Solution:
No Explaination.
TN State Board
TN 12th Standard
Maths Tamil Medium
அத்தியாயம் 4 : நேர்மாறு முக்கோணவியல் சார்புகள்
Prepare / Learn
Q8.
f
(
x
) = sin
−1
√[
x
– 1]
என
வரையறுக்கப்படும்
சார்பின்
சார்பகம்
A.
[1, 2]
B.
[−1, 1]
C.
[0, 1]
D.
[−1, 0]
View Solution
Add Work Space
Answer :
Option A
Explaination / Solution:
TN State Board
TN 12th Standard
Maths Tamil Medium
அத்தியாயம் 4 : நேர்மாறு முக்கோணவியல் சார்புகள்
Prepare / Learn
Q9.
x
= 1/5
எனில்
, cos (cos
−1
x
+ 2 sin
−1
x
) −
ன்
மதிப்பு
A.
−√[24/25]
B.
√[24/25]
C.
1/5
D.
−1/5
View Solution
Add Work Space
Answer :
Option D
Explaination / Solution:
TN State Board
TN 12th Standard
Maths Tamil Medium
அத்தியாயம் 4 : நேர்மாறு முக்கோணவியல் சார்புகள்
Prepare / Learn
Q10.
என்பதின்
சமம்
A.
B.
C.
D.
View Solution
Add Work Space
Answer :
Option D
Explaination / Solution:
Submit My Answer
Total Question/Mark :
Scored Mark :
Mark for Correct Answer : 1 Mark for Wrong Answer : -0.5 Mark for Left Answer : 0
Save and Share My Score
REDO THIS TEST AGAIN : ( TEST 1 )
START NEXT : ( TEST 2 )
அத்தியாயம் 4 : நேர்மாறு முக்கோணவியல் சார்புகள்
TEST : 1
அத்தியாயம் 4 : நேர்மாறு முக்கோணவியல் சார்புகள்
| Online Objective Test |
Start Test
TN State Board : TN 12th Standard (Maths Tamil Medium)
| Online Objective Test
Start Test
அத்தியாயம் 1 : அணிகள் மற்றும் அணிக்கோவைகளின் பயன்பாடுகள்
| Online 1 Mark Objective Test
Start Test
அத்தியாயம் 2 : கலப்பு எண்கள்
| Online 1 Mark Objective Test
Start Test
அத்தியாயம் 3 : சமன்பாட்டியல்
| Online 1 Mark Objective Test
Start Test
அத்தியாயம் 4 : நேர்மாறு முக்கோணவியல் சார்புகள்
| Online 1 Mark Objective Test
Start Test
அத்தியாயம் 5 : இருபரிமாண பகுமுறை வடிவியல் II
| Online 1 Mark Objective Test
Start Test
அத்தியாயம் 6 : வெக்டர் இயற்கணிதத்தின் பயன்பாடுகள்
| Online 1 Mark Objective Test
Start Test
அத்தியாயம் 7 : வகை நுண்கணிதத்தின் பயன்பாடுகள்
| Online 1 Mark Objective Test
Start Test
அத்தியாயம் 8 : வகையீடுகள் மற்றும் பகுதி வகைக்கெழுக்கள்
| Online 1 Mark Objective Test
Start Test
அத்தியாயம் 9 : தொகை நுண்கணிதத்தின் பயன்பாடுகள்
| Online 1 Mark Objective Test
Start Test
அத்தியாயம் 10 : சாதாரண வகைக்கெழுச் சமன்பாடுகள்
| Online 1 Mark Objective Test
Start Test
அத்தியாயம் 11 : நிகழ்தகவு பரவல்கள்
| Online 1 Mark Objective Test
Start Test
அத்தியாயம் 12 : தனிநிலைக் கணிதம்
| Online 1 Mark Objective Test
Start Test
Prepare Before Start Test
| Learn
Engineering
| prepare/Learn
Medical
| prepare/Learn
TN School (10th & 12th )
| prepare/Learn
NEET, JEE
| prepare/Learn
TNPSC Exam
| prepare/Learn
UPSC Civil services Entrance exams
| Online Test
General Studies test
| Start Online Test
Civil Services Aptitude Test (CSAT)
| Start Online Test
Interview and Personality Test
| Start Online Test
GATE Exam
| Online Test
EE Electrical Engineering
| Start Online Test
EC Electronics and Communication Engineering
| Start Online Test
CS Computer Science and Information Technology
| Start Online Test
CE Civil Engineering
| Start Online Test
ME Mechanical Engineering
| Start Online Test
Under Graduate Entrance Exams
| Online Test
IIT JEE IEEE Entrance Exam
| Start Online Test
NEET Entrance Exam
| Start Online Test
AIIMS Entrance Exams
| Start Online Test
Problem Solving and Reasoning
| Online Test
Verbal and Reading Comprehension
| Start Online Test
Data Interpretation and Logical Reasoning
| Start Online Test
Mathematics or Quantitative Aptitude
| Start Online Test
CAT Entrance Exams
| Online Test
Mathematics or Quantitative Aptitude
| Start Online Test
Data Interpretation and Logical Reasoning
| Start Online Test
Verbal and Reading Comprehension
| Start Online Test
CLAT LAW Entrance exams
| Online Test
English including comprehension
| Start Online Test
General Knowledge and Current Affairs
| Start Online Test
Elementary Mathematics
| Start Online Test
Logical and Legal Reasoning Aptitude
| Start Online Test
Banking Entrance exams
| Online Test
Bank PO
| Start Online Test
Bank Clerks
| Start Online Test
Specialist Officers (SO)
| Start Online Test
UGC NET Entrance exams
| Online Test
Science
| Start Online Test
Language
| Start Online Test
TANCET Anna University
| Online Test
EEE Electrical and Electronics Engineering
| Start Online Test
ECE Electronics and Communication Engineering
| Start Online Test
CSE, IT Computer Science Engineering and Information Technology
| Start Online Test
Civil Engineering
| Start Online Test
Mechanical Engineering
| Start Online Test
TN State Board
| Online Test
TN 11th Standard
| Start Online Test
TN 12th Standard
| Start Online Test
TN 10th Standard
| Start Online Test