அத்தியாயம் 2 : கலப்பு எண்கள் - Online Test

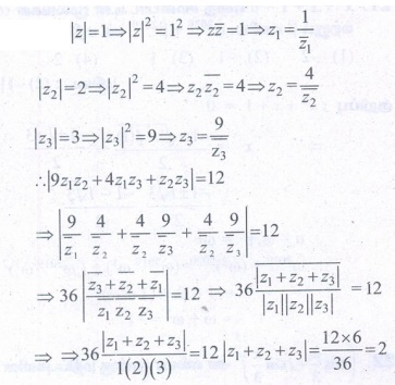
Q1. |z1| = 1, |z2| =  2, |z3| = 3, மற்றும் |9z1z2 + 4z1z3  + z2z3| = 12 எனில், |z1 + z2 + z3|−ன் மதிப்பு
Answer : Option B
Explaination / Solution:



Q2. z என்ற கலப்பெண்ணானது z \ ஆகவும் z + 1/z R எனவும் இருந்தால், |z|−ன் மதிப்பு
Answer : Option B
Explaination / Solution:



Q3. z1, z2, மற்றம் z3 என்ற கலப்பெண்கள் z1 + z2 + z3 = 0 எனவும் |z1| = |z2| = |z3| = 1ஆகவும் இருந்தால், z12 + z22 + z32ன் மதிப்பு
Answer : Option D
Explaination / Solution:



Q4.  என்பது ழுழுவதும் கற்பனை எனில், |z| −ன் மதிப்பு
Answer : Option B
Explaination / Solution:



Q5. z = x + iy என்ற கலப்பெண்ணிற்கு | z + 2| = |z − 2| எனில், zன் நியமப்பாதை
Answer : Option B
Explaination / Solution:



Q6. 3/ (−1 + i) என்ற கலப்பெண்ணின் ழுதன்மை வீச்சு
Answer : Option C
Explaination / Solution:



Q7. (sin40° + icos40°)5ன் முதன்மை வீச்சு
Answer : Option A
Explaination / Solution:



Q8. (1 + i) (1 + 2i)(1 + 3i) ... (1 + ni) = x + iy எனில், 2.5.10 ... (1 + n2) −ன் மதிப்பு
Answer : Option C
Explaination / Solution:



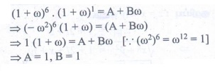
Q9. ω ≠ 1 என்பது ஒன்றின் முப்படி மூலம் மற்றும் (1 + ω)7 = A + Bω எனில், (A,B) என்பது
Answer : Option D
Explaination / Solution:



Q10.  என்ற கலப்பெண்ணின் முதன்மை வீச்சு
Answer : Option D
Explaination / Solution: