அத்தியாயம் 11 : நிகழ்தகவு பரவல்கள் - Online Test

Q1.

X எனும் சமவாய்ப்பு மாறியின் நிகழ்தகவு அடர்த்தி சார்பு


 எனில், இவற்றில் எந்த கூற்று சரியானது?
Answer : Option B
Explaination / Solution:



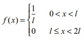
Q2.

2l நீளமுள்ள ஒரு கம்பி சமவாய்ப்பு முறையில் இரு துண்டாக உடைந்தது. இரு துண்டுகளில் குட்டையானதற்கான நிகழ்தகவு அடர்த்தி சார்பு


எனில் குட்டையானப் பகுதிக்கான சராசரி மற்றும் பரவற்படி முறையே,
Answer : Option D
Explaination / Solution:



Q3.
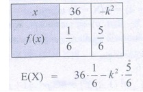
ஒரு விளையாட்டில் அறுபக்க பகடையை விளையாடுபவர் உருட்டுகிறார். பகடை எண் 6–ஐக் காட்டினால், விளையாடுபவர் ₹ 36 வெல்லுவார், இல்லையெனில்k2, தோற்பார். இங்கு k என்பது பகடை காட்டும் எண். k = {1, 2, 3, 4, 5}. விளையாட்டில் எதிர்பார்க்கப்படும் வெல்லும் தொகை
Answer : Option B
Explaination / Solution:



Q4.
1, 2, 3, 4, 5, 6 எண்ணிடப்பட்ட அறுபக்க பகடையும் 1, 2, 3, 4 என எண்ணிடப்பட்ட நான்கு பக்க பகடையும் சோடியாக உருட்டப்பட்டு இரண்டும் காட்டும் எண்களின் கூட்டல் தொகை தீர்மானிக்கப்படுகிறது. இந்த கூட்டலைத் குறிக்கும் சமவாய்ப்பு மாறி X என்க. இனி 7–இன் நேர்மாறு பிம்பத்தின் உறுப்புகளின் எண்ணிக்கை
Answer : Option D
Explaination / Solution:



Q5.
n = 25 மற்றும் p = 0.8 என்று உள்ள ஈருறுப்பு பரவல் கொண்ட சமவாய்ப்பு மாறி X எனில் Xன் திட்ட விலக்கத்தின் மதிப்பு
Answer : Option D
Explaination / Solution:



Q6.
n முறை சுண்டப்படும் ஒரு நாணயத்தினால் பெறப்படும் தலை மற்றும் பூக்களின் எண்ணிக்கை வேறுபாட்டை X குறிக்கிறது என்க. Xஇன் சாத்திய மதிப்புகள்
Answer : Option B
Explaination / Solution:
No Explaination.


Q7.
f (x) = (1/12) , a < x < b எனும் சார்பு ஒரு தொடர்ச்சியான சமவாய்ப்பு மாறியின் நிகழ்தகவு அடர்த்தி சார்பினைக் குறிக்கிறது எனில், பின்வருவனவற்றுள் எது a மற்றும் bஇன் மதிப்புகளாக இராது?
Answer : Option D
Explaination / Solution:



Q8.
ஒரு கால்பந்தாட்ட அரங்கிற்கு ஒரே பள்ளியிலிருந்து நான்கு பேருந்துகள் 160 மாணவர்களை ஏற்றிக்கொண்டு வருகிறது. அப்பேருந்துகளில் முறையே 42, 36, 34, மற்றும் 48 மாணவர்கள் பயணிக்கின்றனர். சமவாய்ப்பு முறையில் ஒரு மாணவர் தேர்ந்தெடுக்கப்படுகிறார். அவ்வாறு சமவாய்ப்பு முறையில் தேர்ந்தெடுக்கப்பட்ட மாணவர் பயணிக்கும் பேருந்திலுள்ள மாணவர்களின் எண்ணிக்கையை X குறிக்கிறது என்க. நான்கு பேருந்து ஓட்டுனர்களில் ஒருவர் சமவாய்ப்பு முறையில் தேர்ந்தெடுக்கப்படுகின்றனர். அவ்வாறு தேர்ந்தெடுக்கப்பட்ட ஓட்டுநர் ஓட்டி வரும் பேருந்திலுள்ள மாணவர்களின் எண்ணிக்கையை Y குறிக்கிறது என்க. இனி E (X) மற்றும் E(Y) முறையே
Answer : Option C
Explaination / Solution:



Q9.
இரு நாணயங்கள் சுண்டப்படுகின்றன. முதல் நாணயத்தில் தலை கிடைப்பதற்கான நிகழ்தகவு 0.6 மற்றும் இரண்டாவது நாணயத்தின் மூலம் தலை கிடைக்க நிகழ்தகவு 0.5 ஆகும். சுண்டி விடுதலின் முடிவுகள் சார்பற்றவை எனக் கருதுக. X என்பது மொத்த தலைகளின் எண்ணிக்கையைக் குறிக்கிறது என்க. E (X) –ன் மதிப்பு
Answer : Option B
Explaination / Solution:



Q10.
பலவுள் தேர்வு ஒன்றில் 5 வினாக்கள் ஒவ்வொன்றிற்கும் 3 சாத்தியமானக் கவனச் சிதறல் விடைகள் உள்ளது. ஊகத்தின் அடிப்படையில் 4 அல்லது அதற்கு மேல் சரியான விடையை ஒரு மாணவர் அளிப்பதற்கான நிகழ்தகவு
Answer : Option A
Explaination / Solution: