Toggle navigation
Test.Brainkart.com
Home
GATE Exam
TN School
College Entrance Exam
IIT JEE
NEET
AIIMS
CAT
CLAT
TANCET
10th & 12th
11th Std
12th Std
10th Std
Job Entrance Exam
BANK
UGC NET
TNPSC
அத்தியாயம் 10 : சாதாரண வகைக்கெழுச் சமன்பாடுகள்
- Online Test
அத்தியாயம் 10 : சாதாரண வகைக்கெழுச் சமன்பாடுகள்
TEST : 3
TN State Board
TN 12th Standard
Maths Tamil Medium
அத்தியாயம் 10 : சாதாரண வகைக்கெழுச் சமன்பாடுகள்
Prepare / Learn
Q1.
எனும்
வகைக்கெழுச்
சமன்பாட்டின்
தொகையீட்டுக்
காரணி
A.
B.
x
+1
C.
D.
View Solution
Add Work Space
Answer :
Option A
Explaination / Solution:
TN State Board
TN 12th Standard
Maths Tamil Medium
அத்தியாயம் 10 : சாதாரண வகைக்கெழுச் சமன்பாடுகள்
Prepare / Learn
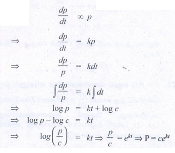
Q2.
ஏதேனும்
ஒரு
வருடம்
t–
ல்
உள்ள
P–
ன்
பெருக்க
வீதமானது
மக்கள்
தொகைக்கு
விகிதமாக
அமையும்
எனில்
,
பின்னர்
A.
P = Ce
kt
B.
P = Ce
−kt
C.
P = Ckt
D.
P = C
View Solution
Add Work Space
Answer :
Option A
Explaination / Solution:
TN State Board
TN 12th Standard
Maths Tamil Medium
அத்தியாயம் 10 : சாதாரண வகைக்கெழுச் சமன்பாடுகள்
Prepare / Learn
Q3.
t
எனும்
நேரத்திற்குப்
பிறகு
மீதமுள்ள
ஒரு
பொருளின்
அளவு
P
ஆகும்
.
பொருள்
ஆவியாகும் வீதமானது
அந்நேரத்தில்
மீதமிருக்கும்
பொருளின்
அளவிற்கு
விகிதமாக
அமைந்துள்ளது
எனில்
,
பின்னர்
A.
P = Ce
kt
B.
P = Ce
−kt
C.
P = Ckt
D.
Pt = C
View Solution
Add Work Space
Answer :
Option B
Explaination / Solution:
TN State Board
TN 12th Standard
Maths Tamil Medium
அத்தியாயம் 10 : சாதாரண வகைக்கெழுச் சமன்பாடுகள்
Prepare / Learn
Q4.
எனும்
வகைக்கெழுச்
சமன்பாட்டின்
தீர்வு
ஒரு
வட்டத்தைக்
குறிக்குமானால்
,
a
–
ன்
மதிப்பு
A.
2
B.
–2
C.
1
D.
–1
View Solution
Add Work Space
Answer :
Option B
Explaination / Solution:
TN State Board
TN 12th Standard
Maths Tamil Medium
அத்தியாயம் 10 : சாதாரண வகைக்கெழுச் சமன்பாடுகள்
Prepare / Learn
Q5.
y =
f
(
x
)
எனும்
வளைவரையின்
ஏதேனும்
ஒரு
புள்ளியிடத்து
சாய்வு
எனக்கொடுக்கப்பட்டுள்ளது
.
மேலும்
வளைவரையானது
(–1,1)
புள்ளி
வழியாகச்
செல்கிறது
எனில்
,
வளைவரையின்
சமன்பாடு
A.
y =
x
3
+ 2
B.
y = 3
x
2
+ 4
C.
y = 3
x
3
+ 4
D.
y =
x
3
+ 5
View Solution
Add Work Space
Answer :
Option A
Explaination / Solution:
Submit My Answer
Total Question/Mark :
Scored Mark :
Mark for Correct Answer : 1 Mark for Wrong Answer : -0.5 Mark for Left Answer : 0
Save and Share My Score
REDO LAST TEST AGAIN : ( TEST 2 )
REDO THIS TEST AGAIN : ( TEST 3 )
அத்தியாயம் 10 : சாதாரண வகைக்கெழுச் சமன்பாடுகள்
TEST : 3
அத்தியாயம் 10 : சாதாரண வகைக்கெழுச் சமன்பாடுகள்
| Online Objective Test |
Start Test
TN State Board : TN 12th Standard (Maths Tamil Medium)
| Online Objective Test
Start Test
அத்தியாயம் 1 : அணிகள் மற்றும் அணிக்கோவைகளின் பயன்பாடுகள்
| Online 1 Mark Objective Test
Start Test
அத்தியாயம் 2 : கலப்பு எண்கள்
| Online 1 Mark Objective Test
Start Test
அத்தியாயம் 3 : சமன்பாட்டியல்
| Online 1 Mark Objective Test
Start Test
அத்தியாயம் 4 : நேர்மாறு முக்கோணவியல் சார்புகள்
| Online 1 Mark Objective Test
Start Test
அத்தியாயம் 5 : இருபரிமாண பகுமுறை வடிவியல் II
| Online 1 Mark Objective Test
Start Test
அத்தியாயம் 6 : வெக்டர் இயற்கணிதத்தின் பயன்பாடுகள்
| Online 1 Mark Objective Test
Start Test
அத்தியாயம் 7 : வகை நுண்கணிதத்தின் பயன்பாடுகள்
| Online 1 Mark Objective Test
Start Test
அத்தியாயம் 8 : வகையீடுகள் மற்றும் பகுதி வகைக்கெழுக்கள்
| Online 1 Mark Objective Test
Start Test
அத்தியாயம் 9 : தொகை நுண்கணிதத்தின் பயன்பாடுகள்
| Online 1 Mark Objective Test
Start Test
அத்தியாயம் 10 : சாதாரண வகைக்கெழுச் சமன்பாடுகள்
| Online 1 Mark Objective Test
Start Test
அத்தியாயம் 11 : நிகழ்தகவு பரவல்கள்
| Online 1 Mark Objective Test
Start Test
அத்தியாயம் 12 : தனிநிலைக் கணிதம்
| Online 1 Mark Objective Test
Start Test
Prepare Before Start Test
| Learn
Engineering
| prepare/Learn
Medical
| prepare/Learn
TN School (10th & 12th )
| prepare/Learn
NEET, JEE
| prepare/Learn
TNPSC Exam
| prepare/Learn
UPSC Civil services Entrance exams
| Online Test
General Studies test
| Start Online Test
Civil Services Aptitude Test (CSAT)
| Start Online Test
Interview and Personality Test
| Start Online Test
GATE Exam
| Online Test
EE Electrical Engineering
| Start Online Test
EC Electronics and Communication Engineering
| Start Online Test
CS Computer Science and Information Technology
| Start Online Test
CE Civil Engineering
| Start Online Test
ME Mechanical Engineering
| Start Online Test
Under Graduate Entrance Exams
| Online Test
IIT JEE IEEE Entrance Exam
| Start Online Test
NEET Entrance Exam
| Start Online Test
AIIMS Entrance Exams
| Start Online Test
Problem Solving and Reasoning
| Online Test
Verbal and Reading Comprehension
| Start Online Test
Data Interpretation and Logical Reasoning
| Start Online Test
Mathematics or Quantitative Aptitude
| Start Online Test
CAT Entrance Exams
| Online Test
Mathematics or Quantitative Aptitude
| Start Online Test
Data Interpretation and Logical Reasoning
| Start Online Test
Verbal and Reading Comprehension
| Start Online Test
CLAT LAW Entrance exams
| Online Test
English including comprehension
| Start Online Test
General Knowledge and Current Affairs
| Start Online Test
Elementary Mathematics
| Start Online Test
Logical and Legal Reasoning Aptitude
| Start Online Test
Banking Entrance exams
| Online Test
Bank PO
| Start Online Test
Bank Clerks
| Start Online Test
Specialist Officers (SO)
| Start Online Test
UGC NET Entrance exams
| Online Test
Science
| Start Online Test
Language
| Start Online Test
TANCET Anna University
| Online Test
EEE Electrical and Electronics Engineering
| Start Online Test
ECE Electronics and Communication Engineering
| Start Online Test
CSE, IT Computer Science Engineering and Information Technology
| Start Online Test
Civil Engineering
| Start Online Test
Mechanical Engineering
| Start Online Test
TN State Board
| Online Test
TN 11th Standard
| Start Online Test
TN 12th Standard
| Start Online Test
TN 10th Standard
| Start Online Test