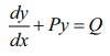
எனும் வகைக்கெழுச் சமன்பாட்டின் படி
எனும் வகைக்கெழுச்
சமன்பாட்டின் வரிசை மற்றும் படி எனில்,
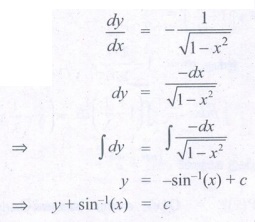
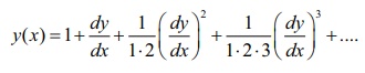
எனும் வகைக்கெழுச் சமன்பாட்டின் தீர்வு
எனும் வகைக்கெழுச் சமன்பாட்டின் தீர்வு
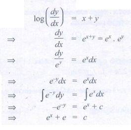
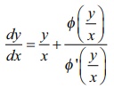
எனும் வகைக்கெழுச் சமன்பாட்டின் பொதுத்தீர்வு
ன் தீர்வு
எனும் வகைக்கெழுச் சமன்பாட்டின் தீர்வு
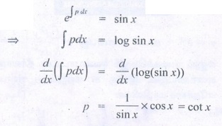
எனும் நேரியல் வகைக்கெழுச் சமன்பாட்டின் தொகையீட்டுக் காரணி
sin x எனில், P என்பது