எனும் வகைக்கெழுச் சமன்பாட்டின் வரிசை மற்றும் படி முறையே

எனும் வகைக்கெழுச் சமன்பாட்டின் வரிசை மற்றும் படி


எனும் வகைக்கெழுச் சமன்பாட்டின் பொதுத்தீர்வு
எனும் வகைக்கெழுச் சமன்பாட்டின் தீர்வு குறிப்பிடுவது
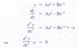
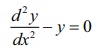
–ன் தீர்வு
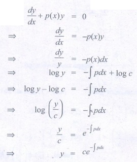
என்ற வகைக்கெழுச் சமன்பாட்டின் தொகையீட்டுக் காரணி
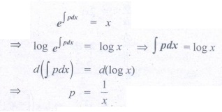
என்ற வகைக்கெழுச் சமன்பாட்டின் தொகையீட்டுக் காரணி x
எனில்,
P(x) என்பது