
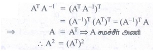
எனில்,
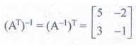
(AT)−1
=
மற்றும் AT
= A−1 எனில்,
x −ன் மதிப்பு
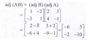
மற்றும் AB
= I2 எனில்,
B =
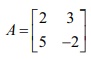
மற்றும் A
(adj A) =
எனில், k =
மற்றும் λA−1
= A எனில், λ −ன் மதிப்பு
மற்றும்
adj B =
எனில், adj (AB) ஆனது
−ன் அணித்தரம்
,
,
எனில், x மற்றும் y
–ன் மதிப்புகள் முறையே,
பின்வருபனவற்றுள் எவை / எவைகள் உண்மையானவை?
(i) ஒரு சமச்சீர் அணியின் சேர்ப்பு அணி சமச்சீராக இருக்கும்.
(ii) ஒரு மூலைவிட்ட அணியின் சேர்ப்பு அணி மூலை விட்ட அணியாக இருக்கும்.
(iii) A என்பது n வரிசையுடைய ஒரு சதுர அணி மற்றும் λ என்பது ஒரு திசையிலி எனில் adj (λA) = λn adj (A) .