

, B =
adj A மற்றும் C = 3A எனில்,
|adj B| / |C| =
எனில்,
A = 
எனில்,
9I2 – A =
மற்றும்
எனில், |adj (AB)| =
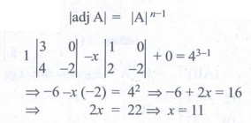
என்பது 3 × 3 வரிசையுடைய அணி A
−ன் சேர்ப்பு அணி மற்றும்
|A| = 4 எனில், x ஆனது
மற்றும்
எனில்,
a23 −ன் மதிப்பானது
மற்றும்
எனில்,
B−1 =