Engineering Mathematics - Online Test

Q1.  The integrating factor for the differential equation 
Answer : Option D
Explaination / Solution:


The standard form of Linear differential equations is 


Q2. If {x} is a continuous, real valued random variable defined over the interval (−∞,+∞) and its occurrence is defined by the density function given as:  where ‘a’ and ‘b’ are the statistical attributes of the random variable {x}. The value of the integral  dx is
Answer : Option B
Explaination / Solution:



Q3. The expression   is equal to
Answer : Option A
Explaination / Solution:

By L’ Hospital rule, 


Q4. If |4x − 7| = 5 then the value of 2 |x| − |−x| is
Answer : Option B
Explaination / Solution:

|4x − 7| = 5; 4x − 7 = 5 or 4x − 7 = −5 ⇒ x = 3 or 0.5
2 |x| − |−x| = 2×3-3= 3 or 2 |x| − |−x| = 2×1/2-1/2 = 1/2

Q5.
[A] is a square matrix which is neither symmetric nor skew-symmetric and [A]is its transpose. The sum and difference of these matrices are defined as [S]=[A]+ [A]and  [D]=[A]+ [A]  , respectively. Which of the following statements is TRUE?
Answer : Option D
Explaination / Solution:
No Explaination.


Q6. The square root of a number N is to be obtained by applying the Newton Raphson iterations to the equation x2- N = 0. If i denotes the iteration index, the correct iterative scheme will be
Answer : Option A
Explaination / Solution:
No Explaination.


Q7. There are two containers, with one containing 4 Red and 3 Green balls and the other containing 3 Blue and 4 Green balls. One ball is drawn at random from each container. The probability that one of the balls is Red and the other is Blue will be
Answer : Option C
Explaination / Solution:
No Explaination.


Q8. 2D stress at a point is given by a matrix,  MPa. The maximum shear stress in MPa is
Answer : Option A
Explaination / Solution:



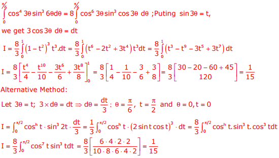
Q9. The value of 
Answer : Option B
Explaination / Solution:



Q10. x and y are two positive real numbers, such that equation 2x + y ≤ 6; x + 2y ≤ 8 For which values of (x, y), the function f (x, y) = 3x + 6y will give maximum value
Answer : Option A
Explaination / Solution:

2x + y ≤ 6; x + 2y ≤ 8 x ≤ 1.33; y ≤ 3.33; ∴ option(B) and (C) is rejected becuase x >1.33 Option (D) is rejected x >10 / 3