அலகு 8 : வெக்டர் இயற்கணிதம் - Online Test

Q1. -ன் மீது -ன் மீது -ன் மீது  வீழலும் சமம் எனில், λ−ன் மதிப்பு
Answer : Option C
Explaination / Solution:



Q2.  என்ற வெக்டரின் ஆரம்ப மற்றும் இறுதிப் புள்ளிகள் (1, 2, 4) மற்றும் (2, – 3λ – 3) எனில், λ −ன் மதிப்பு
Answer : Option B
Explaination / Solution:



Q3.
 மற்றும்  ஆகிய நிலை வெக்டர்களின் புள்ளிகள் ஒரே கோட்டில் அமைந்தால்a’−ன் மதிப்பு
Answer : Option D
Explaination / Solution:



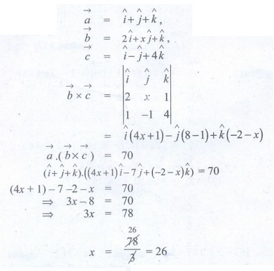
Q4.  மற்றும்  எனில் xன் மதிப்பு
Answer : Option C
Explaination / Solution:



Q5.  மேலும்  மற்றும் க்கு இடைப்பட்ட கோணம் π/6 எனில், இவ்விரு வெக்டர்களை அடுத்தடுத்த பக்கங்களாகக் கொண்ட முக்கோணத்தின் பரப்பு
Answer : Option B
Explaination / Solution: