Maths Tamil Medium - Online Test

Q2. ∫ ƒ(x)dx = g(x) + c எனில், ∫ ƒ(x)g'(x)dx என்பது
Answer : Option A
Explaination / Solution:



Q3. A = {(x, y) : y = ex, x∈ℝ} மற்றும் B = {(x, y) : y = e‒x, x  } எனில், n(A  B) என்பது
Answer : Option C
Explaination / Solution:



Q4. மூன்று ஆண்கள், இரு பெண்கள் மற்றும் நான்கு குழந்தைகள் உள்ள ஒரு குழுவிலிருந்து சமவாய்ப்பு முறையில் நான்கு நபர்கள் தேர்ந்தெடுக்கப்படுகின்றனர். அவர்களில் சரியாக இருவர் மட்டும் குழந்தைகளாக இருப்பதற்கான நிகழ்தகவு
Answer : Option D
Explaination / Solution:



Q5. |x + 2| ≤ 9 எனில்x அமையும் இடைவெளி
Answer : Option B
Explaination / Solution:



Q6.
Answer : Option D
Explaination / Solution:



Q7. 2,4,5,7 ஆகிய அனைத்து எண்களையும் பயன்படுத்தி உருவாக்கப்படும் நான்கு இலக்க எண்களில் 10 ‒ஆவது இடத்திலுள்ள அனைத்து எண்களின் கூடுதல்.
Answer : Option B
Explaination / Solution:



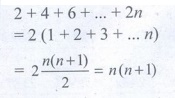
Q8. 2 + 4 + 6 +... + 2n ‒ன் மதிப்பு
Answer : Option D
Explaination / Solution:



Q9. ஒரு புள்ளிக்கும் y அச்சிற்கும் இடைப்பட்ட தூரமானது, அப்புள்ளிக்கும் ஆதிக்கும் இடைப்பட்ட தூரத்தில் பாதி எனில் அப்புள்ளியின் நியமப்பாதை
Answer : Option D
Explaination / Solution:



Q10.  மற்றும் A = [aij]2×2 எனில், A என்பது
Answer : Option B
Explaination / Solution: