ஆகியவை ஒரே கோட்டிலமைந்த மூன்று புள்ளிகளின் நிலைவெக்டர்கள் எனில் கீழ்க்காண்பவைகளுள் எது சரியானது?
P என்ற புள்ளியின் நிலை வெக்டர்
என்க. P ஆனது
மற்றும்
−ஐ நிலை வெக்டர்களாகக் கொண்ட புள்ளிகளை இணைக்கும் கோட்டைப் பிரிக்கும் விகிதம்

என்பது ஓரலகு வெக்டர் எனில், λ−ன் மதிப்பு
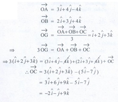
ஒரு முக்கோணத்தின் இரண்டு முனைப்புள்ளிகளின் நிலை வெக்டர்கள்
மற்றும்
. மையக்கோட்டு சந்தியின் நிலை வெக்டர்
எனில்,மூன்றாவது முனைப் புள்ளியின் நிலை வெக்டர்

மற்றும்
எனில்,
−ன் மதிப்பு
மற்றும்
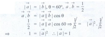
− ஒரே எண்ணளவைக் கொண்டுள்ளது. இவற்றிற்கு இடைப்பட்ட கோணம் 60° மற்றும் இவற்றின் திசையிலிப் பெருக்கம் 1/2 எனில்,
−ன் மதிப்பு

மற்றும்
ஆகியவை செங்குத்தாக அமைந்து θ ∈ (0, π/2) எனில், θ −ன் மதிப்பு
மற்றும்
எனில்,
−ன் மதிப்பு
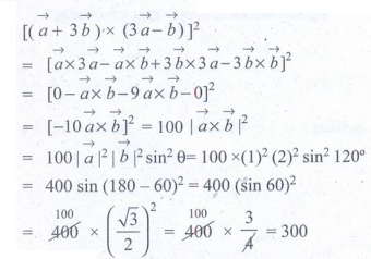
மற்றும்
−க்கு இடைப்பட்ட கோணம் 120°.
எனில்,
−ன் மதிப்பு
மற்றும்
ஆகியவற்றின் எண்ணளவு 2, மேலும் இவற்றிற்கு இடைப்பட்ட கோணம் 60° எனில்,
மற்றும்
க்கு இடைப்பட்ட கோணம்