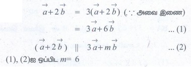
என்பது
மற்றும்
ஆகியவை இணை எனில், m−ன் மதிப்பு
மற்றும்
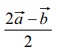
ஆகிய வெக்டர்களின் கூடுதலுக்கு இணையாக உள்ள அலகு வெக்டர்
ஒரு வெக்டர்
ஆனது x மற்றும் y அச்சுகளின் மிகைத் திசையில் முறையே 60° மற்றும் 45°−ஐ ஏற்படுத்துகின்றது.
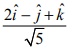
ஆனது z−அச்சுடன் ஏற்படுத்தும் கோணம்

மற்றும் B−ன் நிலை வெக்டர்
எனில் A−ன் நிலைவெக்டர்


ஆகிய வெக்டர்கள்
என்பது
மற்றும்
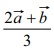
−ஐ அடுத்தடுத்த பக்கங்களாக கொண்ட இணைகரம் ABCD−ன் ஒரு மூலைவிட்டம்
எனில் மற்றொரு மூலைவிட்டம்
ஆனது

எனில், கீழ்க்காணும் நிலை வெக்டர்களில் எந்த நிலை வெக்டரின் புள்ளி AB என்ற கோட்டின் மீது அமையும்.