Toggle navigation
Test.Brainkart.com
Home
GATE Exam
TN School
College Entrance Exam
IIT JEE
NEET
AIIMS
CAT
CLAT
TANCET
10th & 12th
11th Std
12th Std
10th Std
Job Entrance Exam
BANK
UGC NET
TNPSC
அலகு 7 : அணிகளும் அணிக்கோவைகளும்
- Online Test
அலகு 7 : அணிகளும் அணிக்கோவைகளும்
TEST : 3
TN State Board
TN 11th Standard
Maths Tamil Medium
அலகு 7 : அணிகளும் அணிக்கோவைகளும்
Prepare / Learn
Q1.
மற்றும்
,
எனில்
A.
B
= 4
A
B.
B
= −4
A
C.
B
= −
A
D.
B
= 6
A
View Solution
Add Work Space
Answer :
Option B
Explaination / Solution:
TN State Board
TN 11th Standard
Maths Tamil Medium
அலகு 7 : அணிகளும் அணிக்கோவைகளும்
Prepare / Learn
Q2.
A
என்பது
n
−
ஆம்
வரிசை
உடைய
எதிர்
சமச்சீர்
அணி
மற்றும்
C
என்பது
n
× 1
வரிசை
உடைய
நிரல்
அணி
எனில்
, C
T
A
C
என்பது
A.
n
−
ஆம்
வரிசையுடைய
சமனி
அணி
B.
வரிசை
1
உடைய
சமனி
அணி
C.
வரிசை
1
உடைய
பூஜ்ஜிய
அணி
D.
வரிசை
2
உடைய
சமனி
அணி
View Solution
Add Work Space
Answer :
Option C
Explaination / Solution:
TN State Board
TN 11th Standard
Maths Tamil Medium
அலகு 7 : அணிகளும் அணிக்கோவைகளும்
Prepare / Learn
Q3.
என்ற
சமன்பாட்டை
நிறைவு
செய்யும்
A
என்ற
அணி
A.
B.
C.
D.
View Solution
Add Work Space
Answer :
Option C
Explaination / Solution:
TN State Board
TN 11th Standard
Maths Tamil Medium
அலகு 7 : அணிகளும் அணிக்கோவைகளும்
Prepare / Learn
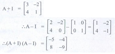
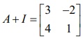
Q4.
எனில்
(
A
+
I
)(
A
−
I
) −
ன்
மதிப்பு
A.
B.
C.
D.
View Solution
Add Work Space
Answer :
Option A
Explaination / Solution:
TN State Board
TN 11th Standard
Maths Tamil Medium
அலகு 7 : அணிகளும் அணிக்கோவைகளும்
Prepare / Learn
Q5.
A
,
B
என்பன
சம
வரிசையுள்ள
இரு
சமச்சீர்
அணிகள்
எனில்
,
கீழ்க்கண்டவற்றுள்
எது
உண்மையல்ல
?
A.
A
+
B
என்பது
ஒரு
சமச்சீர்
அணி
B.
AB
என்பது
ஒரு
சமச்சீர்
அணி
C.
AB
= (
BA
)
T
D.
A
T
B
=
AB
T
View Solution
Add Work Space
Answer :
Option B
Explaination / Solution:
Submit My Answer
Total Question/Mark :
Scored Mark :
Mark for Correct Answer : 1 Mark for Wrong Answer : -0.5 Mark for Left Answer : 0
Save and Share My Score
REDO LAST TEST AGAIN : ( TEST 2 )
REDO THIS TEST AGAIN : ( TEST 3 )
அலகு 7 : அணிகளும் அணிக்கோவைகளும்
TEST : 3
அலகு 7 : அணிகளும் அணிக்கோவைகளும்
| Online Objective Test |
Start Test
TN State Board : TN 11th Standard (Maths Tamil Medium)
| Online Objective Test
Start Test
அலகு 1 : கணங்கள் தொடர்புகள் மற்றும் சார்புகள்
| Online 1 Mark Objective Test
Start Test
அலகு 2 : அடிப்படை இயற்கணிதம்
| Online 1 Mark Objective Test
Start Test
அலகு 3 : முக்கோணவியல்
| Online 1 Mark Objective Test
Start Test
அலகு 4 : சேர்ப்பியல் மற்றும் கணிதத் தொகுத்தறிதல்
| Online 1 Mark Objective Test
Start Test
அலகு 5 : ஈருறுப்புத் தேற்றம் தொடர்முறைகள் மற்றும் தொடர்கள்
| Online 1 Mark Objective Test
Start Test
அலகு 6 : இருபரிமாண பகுமுறை வடிவியல்
| Online 1 Mark Objective Test
Start Test
அலகு 7 : அணிகளும் அணிக்கோவைகளும்
| Online 1 Mark Objective Test
Start Test
அலகு 8 : வெக்டர் இயற்கணிதம்
| Online 1 Mark Objective Test
Start Test
அலகு 9 : வகை நுண்கணிதம் எல்லைகள் மற்றும் தொடர்ச்சித் தன்மை
| Online 1 Mark Objective Test
Start Test
அலகு 10 : வகை நுண்கணிதம் வகைமை மற்றும் வகையிடல் முறைகள்
| Online 1 Mark Objective Test
Start Test
அலகு 11 : தொகை நுண்கணிதம்
| Online 1 Mark Objective Test
Start Test
அலகு 12 : நிகழ்தகவு கோட்பாடு ஓர் அறிமுகம்
| Online 1 Mark Objective Test
Start Test
Prepare Before Start Test
| Learn
Engineering
| prepare/Learn
Medical
| prepare/Learn
TN School (10th & 12th )
| prepare/Learn
NEET, JEE
| prepare/Learn
TNPSC Exam
| prepare/Learn
UPSC Civil services Entrance exams
| Online Test
General Studies test
| Start Online Test
Civil Services Aptitude Test (CSAT)
| Start Online Test
Interview and Personality Test
| Start Online Test
GATE Exam
| Online Test
EE Electrical Engineering
| Start Online Test
EC Electronics and Communication Engineering
| Start Online Test
CS Computer Science and Information Technology
| Start Online Test
CE Civil Engineering
| Start Online Test
ME Mechanical Engineering
| Start Online Test
Under Graduate Entrance Exams
| Online Test
IIT JEE IEEE Entrance Exam
| Start Online Test
NEET Entrance Exam
| Start Online Test
AIIMS Entrance Exams
| Start Online Test
Problem Solving and Reasoning
| Online Test
Verbal and Reading Comprehension
| Start Online Test
Data Interpretation and Logical Reasoning
| Start Online Test
Mathematics or Quantitative Aptitude
| Start Online Test
CAT Entrance Exams
| Online Test
Mathematics or Quantitative Aptitude
| Start Online Test
Data Interpretation and Logical Reasoning
| Start Online Test
Verbal and Reading Comprehension
| Start Online Test
CLAT LAW Entrance exams
| Online Test
English including comprehension
| Start Online Test
General Knowledge and Current Affairs
| Start Online Test
Elementary Mathematics
| Start Online Test
Logical and Legal Reasoning Aptitude
| Start Online Test
Banking Entrance exams
| Online Test
Bank PO
| Start Online Test
Bank Clerks
| Start Online Test
Specialist Officers (SO)
| Start Online Test
UGC NET Entrance exams
| Online Test
Science
| Start Online Test
Language
| Start Online Test
TANCET Anna University
| Online Test
EEE Electrical and Electronics Engineering
| Start Online Test
ECE Electronics and Communication Engineering
| Start Online Test
CSE, IT Computer Science Engineering and Information Technology
| Start Online Test
Civil Engineering
| Start Online Test
Mechanical Engineering
| Start Online Test
TN State Board
| Online Test
TN 11th Standard
| Start Online Test
TN 12th Standard
| Start Online Test
TN 10th Standard
| Start Online Test