q2x2 + p2x + r2
= 0 என்ற சமன்பாட்டின் மூலங்களின் வர்க்கங்கள், qx2 + px + r =
0 என்ற சமன்பாட்டின் மூலங்கள் எனில், q, p, r என்பன


‒க்கான நிரை நிரல் மாற்று அணியின் வரிசை

எனில்,
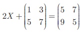
X என்ற அணியைக் காண்க.
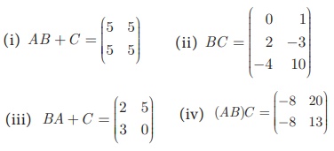
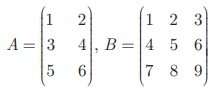
ஆகிய அணிகளைக் கொண்டு எவ்வகை அணிகளைக் கணக்கிட முடியும்?
(i) A2 (ii)
B2 (iii) AB (iv) BA

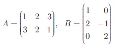
மற்றும்
எனில், பின்வருவனவற்றுள் எவை சரி?

