அலகு 2 : எண்களும் தொடர்வரிசைகளும் - Online Test

Q1.

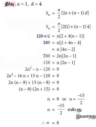
ஒரு கூட்டுத் தொடர்வரிசையில் முதல் உறுப்பு 1 மற்றும் பொது வித்தியாசம் 4. இந்தக் கூட்டுத் தொடர்வரிசையின் எத்தனை உறுப்புகளைக் கூட்டினால் அதன் கூடுதல் 120 கிடைக்கும்

Answer : Option C
Explaination / Solution:



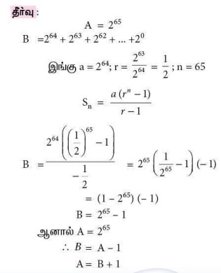
Q2. A = 265 மற்றும் B = 264 + 263 + 262 + ... + 20 எனக் கொடுக்கப்பட்டுள்ளது. பின்வருவனவற்றில் எது உண்மை
Answer : Option D
Explaination / Solution:



Q3.  என்ற தொடர்வரிசையின் அடுத்த உறுப்பு
Answer : Option B
Explaination / Solution:



Q4. t1, t2, t3,... என்பது ஒரு கூட்டுத் தொடர்வரிசை எனில், t6, t12, t18,... என்பது
Answer : Option B
Explaination / Solution:



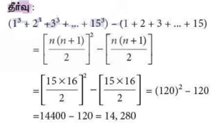
Q5. (13 + 23 + 33 + ... + 153) ‒ (1 + 2 + 3 + ... + 15) யின் மதிப்பு
Answer : Option C
Explaination / Solution: