A → B + C + D என்ற ஒரு படித்தான வினையில், துவக்க அழுத்தம் Po. 't' நேரத்திற்குப் பின் 'P'.Po. P மற்றும் t ஆகியவற்றைப் பொறுத்து வினைவேக மாறிலி

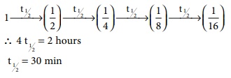
t75% = 2t50%
t50% = (t75% / 2) = (60/2) = 30min
140 நாட்களில் = துவக்கச் செறிவானது (1/2)g ஆக குறைகிறது.
280 நாட்களில் = துவக்கச் செறிவானது (1/4)g ஆக குறைகிறது.
420 நாட்களில் = துவக்கச் செறிவானது (1/8)g ஆக குறைகிறது.
560 நாட்களில் = துவக்கச் செறிவானது (1/16)g ஆக குறைகிறது.
ஒரு முதல் வகை வினைக்கு
t ½ = 0.6932 / k
ஒரு இரண்டாம் வகை வினைக்கு t ½ = [ 2n-1 -1 ] / [ (n-1)k[Ao]n-1
n = 2
t ½ = { 22-1 -1 } / { (2-1)k[Ao]2-1
t ½ = 1 / k[Ao]
