
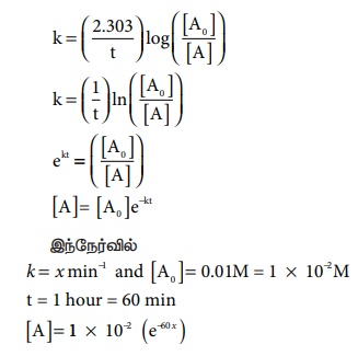
[A] =1 × 10-2 (e-60x)
n ≠ 1 t ½ = (2n-1 -1)
/ (n-1) k[Ao]n-1
n = 0 t ½ = 1 / 2k[Ao]n-1
t ½ = [Ao] / 2k
t ½ = ɑ [Ao]
----------(1)
கொடுக்கப்பட்டவை
[Ao] = 0.02 M; t ½ = 10
min
[Ao] = 0.04 M; t ½ = ?
சமன்பாடு (1) பிரதியிட
10 min α 0.02 M
..................(2)
t ½ α 0.04 M ------------ (3)
(3) / (2)
⇒ t ½ / 10min 0.04 M / 0.02 M
t ½
= 2 × 10 min = 20 min
A → விளைபொருள்
என்ற முதல் வகை வினை யில் துவக்கச் செறிவு x mol L-1 மேலும் அரை வாழ்காலம் 2.5 hours. இதே வினைக்கு துவக்கச் செறிவு (x / 2)mol L-1 ஆக இருப்பின், அரை வாழ் காலம்
முதல் வகை வினைக்கு
t ½ = 0.693 / k
t½ ஆனது தொடக்கச் செறிவினைப் பொறுத்து அமையாத ஒரு மாறிலி t ½ = 2.5 hrs
2NH3 →N2 + 3H2 என்ற
வினைக்கு
,
,
எனில், k1 k2 மற்றும் k3 ஆகியவைகளுக்கிடையேயான தொடர்பு

கொடுக்கப்பட்டவை: குறைவான அழுத்த மதிப்பில் வினைவேகம் α. (வினைபடு பொருள்)1 முதல் வகை வினை. எனவே, வினைவேகம் α. (புறப்பரப்பு)
வினைவேகம் அதிக அழுத்தத்தில் புறப்பரப்பு முழுவதும் கவரப்படுவதால் வினை பூஜ்ய வகை வினையாகும்.
வினைவேகம் α [வினைபடு பொருள்]0 எனவே, வினைவேகம் புறப்பரப்பைப் பொறுத்து அமைவதில்லை.

பின்வரும் கூற்றுகளைக் கருதுக.
i. வினைபடு பொருட்களின் செறிவு அதிகரிப்பானது, பூஜ்ய வகை வினையின் வினைவேகத்தினை அதிகரிக்கிறது.
ii. Ea = 0 எனில் வினைவேக மாறிலி k ஆனது மோதல் எண் A க்குச் சமமாகிறது.
iii. Ea = ∞ எனும் போது, வினைவேக மாறிலி k ஆனது மோதல் எண் A க்குச் சமமாகிறது.
iv. In (k) vs T வரைபடம் ஒரு நேர்கோடாகும்.
v. In(k) Vs (1/T) வரைபடம் நேர்க்குறி சாய்வுடன் கூடிய ஒரு நேர்கோடாகும்.
சரியான கூற்றுக்களாவன

ஒரு மீள் வினையில், முன்னோக்கிய வினையின் என்தால்பி மாற்றம் மற்றும் கிளர்வு ஆற்றல்கள் முறையே -x kJ mol-1 மற்றும் y kJ mol-1 ஆகும். எனவே, பின்னோக்கிய வினையின் கிளர்வு ஆற்றல்

(x+y) kjmol-1
(x+y) ×103 jmol-1