அத்தியாயம் 6 : திட நிலைமை - Online Test

Q1. XY என்ற திண்மம் NaCl வடிவமைப்பினை உடையது. நேர் அயனியின் ஆர மதிப்பு 100pm, எனில், எதிர் அயனியின் ஆர மதிப்பு
Answer : Option A
Explaination / Solution:



Q2. bcc அலகு கூட்டில் காணப்படும் வெற்றிடத்தின் சதவீதம்
Answer : Option C
Explaination / Solution:

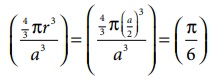
பொதிவுத் திறன் = 68% 
எனவே, காலியாக உள்ள வெளியின் சதவீதம் = (100 - 68) = 32% 

Q3. ஒரு அணுவின் ஆர மதிப்பு 300pm, அது முகப்பு மைய கனச்சதுர அமைப்பில் படிகமானால் அலகு கூட்டின் விளிம்பு நீளம்
Answer : Option B
Explaination / Solution:

விளிம்பு நீளம் = a

√2a = 4r

a = (4 × 300 ) / √2

a = 600 × 1.414

a = 848 .4 pm

Q4. எளிய கனசதுர அமைப்பில் மொத்த கனஅளவில் அணுக்களால் அடைத்துக் கொள்ளப்படும் கன அளவின் விகிதம்
Answer : Option B
Explaination / Solution:



Q5. NaCl படிகத்தின் மஞ்சள் நிறத்திற்கு காரணம்
Answer : Option A
Explaination / Solution:
No Explaination.


Q6. Sc, bcc, மற்றும் fcc ஆகிய கனச்சதுர அமைப்புகளின் விளிம்ப, நீளத் தினை 'a' 'எனக் குறிப்பிட்டால் அவ்வமைப்புகளில் காணப்படும் கோளங்களின் ஆரங்களின் விகிதங்கள் முறையே
Answer : Option C
Explaination / Solution:



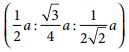
Q7. ஒரு கனச்சதுரத்தின் விளிம்பு நீளம் 'a' எனில் பொருள் மைய கனச்சதுர அமைப்பின் மையத்தில் உள்ள அணுவிற்கும், கனச்சதுரத்தின் ஏதேனும் ஒரு மூலையில் உள்ள ஒரு அணுவிற்கும் இடையே யானத் தொலைவு
Answer : Option D
Explaination / Solution:

விளிம்பு நீளம் a எனில் முதன்மை மூலை விட்டத்தின் மதிப்பு √3a

தேவையான தூரம் = (√3 / 2 ) a


Q8.
பொட்டாசியம் (அணு எடை 39gmo1-1) bcc வடிவமைப்பை பெற்றுள்ளது. இதில் நெருங்கி அமைந்துள்ள இரு அடுத்தடுத்த அணுக்களுக்கிடை யேயானத் தொலைவு 4.52A° ஆக உள்ளது. அதன் அடர்த்தி
Answer : Option A
Explaination / Solution:



Q9. ஒரு படிகத்தில் ஷாட்கி குறைபாடு பின்வரும் நிலையில் உணரப்படுகிறது
Answer : Option B
Explaination / Solution:
No Explaination.


Q10. ஒரு படிகத்தின் நேர் அயனி அதன் வழக்கமான இடத்தில் இடம் பெறாமல் படிக அணிக்கோவை இடைவெளியில் இடம் பெற்றிருப்பின், அப்படிக குறைபாடு இவ்வாறு அழைக்கப்படுகிறது.
Answer : Option C
Explaination / Solution:
No Explaination.