Toggle navigation
Test.Brainkart.com
Home
GATE Exam
TN School
College Entrance Exam
IIT JEE
NEET
AIIMS
CAT
CLAT
TANCET
10th & 12th
11th Std
12th Std
10th Std
Job Entrance Exam
BANK
UGC NET
TNPSC
Chapter 4: Combinatorics and Mathematical Induction
- Online Test
Chapter 4: Combinatorics and Mathematical Induction
TEST : 3
TN State Board
TN 11th Standard
Maths
Chapter 4: Combinatorics and Mathematical Induction
Prepare / Learn
Q1.
The number of 10 digit number that can be written by using the digits 2 and 3 is
A.
10
C
2
+
9
C
2
B.
2
10
C.
2
10
-
2
D.
10!
View Solution
Add Work Space
Answer :
Option B
Explaination / Solution:
TN State Board
TN 11th Standard
Maths
Chapter 4: Combinatorics and Mathematical Induction
Prepare / Learn
Q2.
If P
r
stands for
r
P
r
then the sum of the series 1 + P
1
+ 2P
2
+ 3P
3
+……….+ nP
n
is
A.
P
n+1
B.
P
n+1
-
1
C.
P
n
-
1
+ 1
D.
(n+1)
P
(n
-
1)
View Solution
Add Work Space
Answer :
Option B
Explaination / Solution:
TN State Board
TN 11th Standard
Maths
Chapter 4: Combinatorics and Mathematical Induction
Prepare / Learn
Q3.
The product of first n odd natural numbers equals
A.
2n
C
n
x
n
P
n
B.
(1/2 )
n
x
2n
C
n
xn P
n
C.
(1/4 )
n
x
2n
C
n
x
2n
P
n
D.
n
C
n
x
n
P
n
View Solution
Add Work Space
Answer :
Option B
Explaination / Solution:
TN State Board
TN 11th Standard
Maths
Chapter 4: Combinatorics and Mathematical Induction
Prepare / Learn
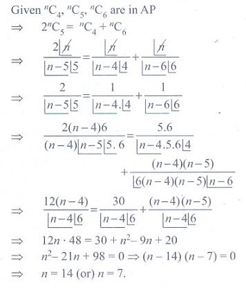
Q4.
If
n
C
4
,
n
C
5
,
n
C
6
are in AP the value of n can be
A.
14
B.
11
C.
9
D.
5
View Solution
Add Work Space
Answer :
Option A
Explaination / Solution:
TN State Board
TN 11th Standard
Maths
Chapter 4: Combinatorics and Mathematical Induction
Prepare / Learn
Q5.
1 + 3 + 5 + 7 +……….+ 17 is equal to
A.
101
B.
81
C.
71
D.
61
View Solution
Add Work Space
Answer :
Option B
Explaination / Solution:
Submit My Answer
Total Question/Mark :
Scored Mark :
Mark for Correct Answer : 1 Mark for Wrong Answer : -0.5 Mark for Left Answer : 0
Save and Share My Score
REDO LAST TEST AGAIN : ( TEST 2 )
REDO THIS TEST AGAIN : ( TEST 3 )
Chapter 4: Combinatorics and Mathematical Induction
TEST : 3
Chapter 4: Combinatorics and Mathematical Induction
| Online Objective Test |
Start Test
TN State Board : TN 11th Standard (Maths)
| Online Objective Test
Start Test
Chapter 1: Sets, Relations and Functions
| Online 1 Mark Objective Test
Start Test
Chapter 2: Basic Algebra
| Online 1 Mark Objective Test
Start Test
Chapter 3: Trigonometry
| Online 1 Mark Objective Test
Start Test
Chapter 4: Combinatorics and Mathematical Induction
| Online 1 Mark Objective Test
Start Test
Chapter 5: Binomial Theorem, Sequences And Series
| Online 1 Mark Objective Test
Start Test
Chapter 6: Two Dimensional Analytical Geometry
| Online 1 Mark Objective Test
Start Test
Chapter 7: Matrices and Determinants
| Online 1 Mark Objective Test
Start Test
Chapter 8: Vector Algebra I
| Online 1 Mark Objective Test
Start Test
Chapter 9: Differential Calculus Limits and Continuity
| Online 1 Mark Objective Test
Start Test
Chapter 11: Integral Calculus
| Online 1 Mark Objective Test
Start Test
Chapter 12: Introduction to probability theory
| Online 1 Mark Objective Test
Start Test
Chapter 10: Differential Calculus Differentiability and Methods of Differentiation
| Online 1 Mark Objective Test
Start Test
Prepare Before Start Test
| Learn
Engineering
| prepare/Learn
Medical
| prepare/Learn
TN School (10th & 12th )
| prepare/Learn
NEET, JEE
| prepare/Learn
TNPSC Exam
| prepare/Learn
UPSC Civil services Entrance exams
| Online Test
General Studies test
| Start Online Test
Civil Services Aptitude Test (CSAT)
| Start Online Test
Interview and Personality Test
| Start Online Test
GATE Exam
| Online Test
EE Electrical Engineering
| Start Online Test
EC Electronics and Communication Engineering
| Start Online Test
CS Computer Science and Information Technology
| Start Online Test
CE Civil Engineering
| Start Online Test
ME Mechanical Engineering
| Start Online Test
Under Graduate Entrance Exams
| Online Test
IIT JEE IEEE Entrance Exam
| Start Online Test
NEET Entrance Exam
| Start Online Test
AIIMS Entrance Exams
| Start Online Test
Problem Solving and Reasoning
| Online Test
Verbal and Reading Comprehension
| Start Online Test
Data Interpretation and Logical Reasoning
| Start Online Test
Mathematics or Quantitative Aptitude
| Start Online Test
CAT Entrance Exams
| Online Test
Mathematics or Quantitative Aptitude
| Start Online Test
Data Interpretation and Logical Reasoning
| Start Online Test
Verbal and Reading Comprehension
| Start Online Test
CLAT LAW Entrance exams
| Online Test
English including comprehension
| Start Online Test
General Knowledge and Current Affairs
| Start Online Test
Elementary Mathematics
| Start Online Test
Logical and Legal Reasoning Aptitude
| Start Online Test
Banking Entrance exams
| Online Test
Bank PO
| Start Online Test
Bank Clerks
| Start Online Test
Specialist Officers (SO)
| Start Online Test
UGC NET Entrance exams
| Online Test
Science
| Start Online Test
Language
| Start Online Test
TANCET Anna University
| Online Test
EEE Electrical and Electronics Engineering
| Start Online Test
ECE Electronics and Communication Engineering
| Start Online Test
CSE, IT Computer Science Engineering and Information Technology
| Start Online Test
Civil Engineering
| Start Online Test
Mechanical Engineering
| Start Online Test
TN State Board
| Online Test
TN 11th Standard
| Start Online Test
TN 12th Standard
| Start Online Test
TN 10th Standard
| Start Online Test