Application of Derivatives - Online Test

Q1. Find the slope of the normal to the curve  at 
Answer : Option B
Explaination / Solution:



Q2. The function f (x) =   has a
Answer : Option A
Explaination / Solution:



Q3. The minimum value of f(x) =sin x cos x is
Answer : Option B
Explaination / Solution:



Q4. The maximum value of  is
Answer : Option A
Explaination / Solution:



Q5. The function f (x) = | x | has
Answer : Option A
Explaination / Solution:



Q6. If a differentiable function f (x) has a relative minimum at x = 0, then the function y = f (x) + a x + b has a relative minimum at x = 0 for
Answer : Option B
Explaination / Solution:



Q7. Let f (x) be differentiable in (0, 4) and f (2) = f (3) and S = {c : 2 < c < 3, f’ (c) = 0 } then
Answer : Option D
Explaination / Solution:

Since given f(x) is differentiable in (2,3) and f(2) = f(3) we have conditions of Rolle′s Theorem are satisfied by f(x) in [2,3]. Hence there exist atleast one real c in (2,3) s.t.f′ (c) = 0. Therefore, the set S contains atleast one element.

Q8. Rolle’s Theorem is not applicable to the function f(x) = | x | for −2⩽x⩽2 because
Answer : Option C
Explaination / Solution:



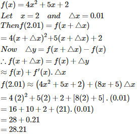
Q9.

Find the approximate value of f(2.01) where 


Answer : Option B
Explaination / Solution:



Q10. Find the approximate value of f(5.001) where 
Answer : Option A
Explaination / Solution: