GENERAL APTITUDE - Online Test

Q1. Pipe ‘A’ takes 6 minutes to fill a tank completely, pipe ‘B’ takes 15 minutes to fill the same tank completely, there is a leak ‘C’ in the same tank that takes 3 minutes to empty the same tank completely. If the pipes are open and leak is also in action throughout, how much time(in minutes) it will take to empty the tank completely.
Answer : Option B
Explaination / Solution:

A takes 6 minutes to fill the tank. So in 1 minute, A will fill 1/6th part of the tank. 
B takes 15 minutes to fill the tank. So in 1 minute, A will fill 1/15th part of the tank. 
C takes 3 minutes to empty the tank. So in 1 minute, C will empty 1/3rd part of the tank. 
So in a minute, tank filled is 
(1/6)+(1/15)-(1/3) 
=1/10th 
So it will take 10 minutes to empty the tank completely.

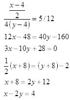
Q2. 4 years ago, the ratio of  of Anita’s age at that time and four times of Bablu’s age at that time was 5 : 12. Eight years hence,  of Anita’s age at that time will be less than Bablu’s age at that time by 2 years. What is Bablu’s present age?
Answer : Option A
Explaination / Solution:

Let present age of Anita= 'x’ years 
And present age of Bablu= ‘y’ years

Now, from eqn. (i) & (ii) 
Bablu present age, Y=10 years

Q3. A sum of money was invested for 14 years in Scheme A, which offered simple interest at a rate of 8% p.a. The amount received from Scheme A after 14 years was then invested for two years in Scheme B, which offers compound interest (compounded annual) at a rate of 10% pa. If the interest received from Scheme B was Rs. 6678, what was the sum invested in Scheme A?
Answer : Option E
Explaination / Solution:

Let sum of money invested in Scheme ‘A’ = x Rs. 
 Amount to be invested for Scheme ‘B’


Q4. There are three positive numbers. One-third of the average of all the three numbers is 12 less than the value of highest number. The average of the lowest and the second lowest number is 14. What is the highest number?
Answer : Option B
Explaination / Solution:

Let highest Number be ‘’ 
Sum of remaining two number = 2 × 14 =28 
Now ATQ, 


Q5. The monthly salaries of Benny and Manjhi are in the ratio of 5 : 4. Benny, from her monthly salary, gives 3/5 to her mother, 15% towards her sister’s college fees, 18% towards a loan and she shops with the remaining amount, which is Rs. 4200. What is the monthly salary of Manjhi?
Answer : Option E
Explaination / Solution:

Let their salaries be  5x and 4x  
Now, 

Monthly salary of Manjhi = 4x = 4 × 12000 = 48000 Rs.

Q6. Arnab, Barkha and Rajdeep started a business by investing Rs. 20000, Rs. 28000 and Rs. 36000 respectively. After 6 months, Arnab and Barkha withdraw an amount of Rs. 8000 each and Rajdeep invested an additional amount of Rs. 8000. All of them invested for equal periods of time. If at the end of the year, Rajdeep got Rs. 12550 as his share of profit, what was the total profit earned?
Answer : Option A
Explaination / Solution:

Ratio of the share of profit 

Ratio of share of profit = 8 : 12 : 20 
Hence, Total Profit 

= 25100 Rs.

Q7. A train of length 105 m overtakes a motorbike traveling in 7 seconds. If the ratio of their speeds is 5 : 2, find the speed of the train.
Answer : Option B
Explaination / Solution:

Speed = distance/time 
Given, a train of length 105 m overtakes a motorbike traveling in 7 seconds and the ratio of their speeds is 5 : 2. 
Let the speed of train be 5a and speed of motorbike be 2a. 
Relative speed of the train with respect to the motorbike = 5a – 2a = 3a 
⇒3a = 105/7 
⇒a = 5 m/s 
Speed of train = 5a = 25 m/s
⇒Speed of train = 25 × 18/5 = 90km/hr

Q8. Renil starts to paint his apartment on one fine day. On the second day, two more friends of of his join him. On the third day 3 more friends of him join him and so on. If the house is completely painted this way in exactly 20 days, then find the number of days in which 10 girls painting together can paint the fence completely, given that every girl can paint twice as fast as Renil and his friends(Boys)?
Answer : Option A
Explaination / Solution:

The number of people working each day can be expressed as a sequence {1,1+2,1+2+3,…1+2+…+n} and the corresponding series is, 
=[1+(1+2)+(1+2+3)+.....+(1+2+3+....+n)]=[1+(1+2)+(1+2+3)+.....+(1+2+3+....+n)] 
Sum of above series for n terms = n(n+1)(n+2)/6=n(n+1)(n+2)/6 
⇒ The number of days taken by the boys =[1+(1+2)+(1+2+3)+.....+(1+2+3+....+20)] 
=[1+(1+2)+(1+2+3)+.....+(1+2+3+....+20)] 
=  (20 × 21 × 22) / 6
= 1540. 
Therefore, the number of days for girls is 1540/2 = 770 days. 
But there are 10 girls, thus they'd require 770/10 = 77 days.

Q9. Radhika has two daughters by name Rinku and Sindhu.The ratio of the age of Radhika and Rinku is 3:1 and that of Rinku and Sindhu is 8:5.Given that Rinku is six years elder to Sindhu.Find the ratio of their ages after 12 years.
Answer : Option D
Explaination / Solution:

The ratio of the ages of Radhika and Rinku is 3:1. 
Let their ages be 3x and x respectively –(1). 
The ratio of ages of Rinku and Sindhu is 8:5. 
Let their ages be 8y and 5y. 
Given that Rinku is 6 years elder to Sindhu.  8y - 5y = 6 ⇒ y = 2. 
Thus,the present ages of Rinku and Sindhu are 8 × 2 = 16 and 5 × 2 = 10 respectively.—(2) 
From (1) and (2),we have x = 16. 
Therefore,the age of Radhika is 3 × 16 = 48. 
After 12 years,their ages would be 48 + 12 = 60,16 + 12 = 28 and 10 + 12 = 22 respectively. 
So,the ratio is 60 : 28 : 22 or 30 : 14 : 11 (dividing throughout by 2).

Q10. Ganesh and Venkat work for the same company. Initially, their salaries were in the ratio 3:2. Later, Venkat’s salary was increased by some amount which has changed the ratio into 30:31.Find the hike in pay for Venkat given that his initial salary was Rs.20,000.
Answer : Option B
Explaination / Solution:

Let the initial salaries of Ganesh and Venkat be 3x and 2x reapectively. 
Given that, 2x = 20000 ⇒ x = 10,000. 
Let w be the hike in pay for Venkat.Therefore,the salary of Venkat is now 2x+w while Ganesh’s salary remains to be 3x.The new ratio is 30:31 
Hence the proportion here is 3x : 2x+w :: 30 : 31 
Using laws of proportion,we have (2x+w)30 = 31× 3x 
⇒60x + 30w = 93x 
⇒30w = 33x 
⇒w = 1.1x 
⇒w = 11000 (since x=10,000)